重磅启幕!江悦和鸣官方售楼处-长沙江悦和鸣官方售楼处电话-开盘时间-房价-户型-楼盘详情-周边环境-户型-价格-地址-楼盘最新销售动态
扫描到手机,新闻随时看
扫一扫,用手机看文章
更加方便分享给朋友
江悦和鸣售楼处电话:400-159-8559转接8000【官方认证】
江悦和鸣开发商电话:400-159-8559转接8000【权威认证】
江悦和鸣营销中心电话400-159-8559转接8000【售楼中心】
本项目暂不接受临时到访,过来参观样板房请记得提前来电预约!
免责声明:本文所用信息图片来源于网络,如侵权请联系本网站及时删!
4001598559,8000
突发!江悦和鸣首开价格出来了!看看贵不贵?
今天,江悦和鸣正式拿证了。
2026年的长沙楼市,杀出了一个摇号红盘,长沙好久没有楼盘摇号了。
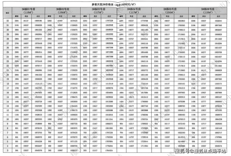
此次江悦和鸣推出的是3号栋,共177套房子,房源不多,但是想买的人太多……
蛙哥也第一时间拿到了项目的价格表。
不过具体优惠体系,蛙哥不能在公众号上直接说,这个请大家理解,如果想了解的,可加蛙哥个人微信。

本次推出的是建面约104-118㎡新规小户型。
户型图如下:
项目的部分高区楼层可看到湘江。
近日,长郡外国语在一次宣讲中,公布了近4年的中考数据。
2022年,四大率16.15%,普高率92.35%
2023年,四大率17.56%,普高率92.68%
2024年,四大率19.08%,普高率93.67%
2025年,四大率26.16%,普高率95.24%
这些数据全部精确到小数点后两位数,如果坊间别的数据和这个数据不符,建议以这个数据为准。
我们可以看到,长郡外国语的实力呈现逐年攀升的情况,2025年的中考成绩已经超过长郡双语,2026年中考预计会考得更好。
小青蛙团队,一直深耕长郡外国语学位房。
江悦和鸣约90%的房源挂在小青蛙团队,小青蛙团队几乎参加了小区所有的二手房成交。
如果大家对江悦和鸣的房子有兴趣,无论是新房还是二手房,都可以联系我本人哦,备注:江悦和鸣。
江悦和鸣售楼处电话:400-159-8559转接8000【官方认证】
江悦和鸣开发商电话:400-159-8559转接8000【权威认证】
江悦和鸣营销中心电话400-159-8559转接8000【售楼中心】
本项目暂不接受临时到访,过来参观样板房请记得提前来电预约!
免责声明:本文所用信息图片来源于网络,如侵权请联系本网站及时删!特别说明:
1.本文为要约邀请,不作为要约或承诺;相关宣传内容不排除因政府相关规划、规定及出卖人分期规划、未能控制等原因而发生变化;
2.本文部分图片来自于网络,如涉及版权使用,请联系删除;文本部分图片仅作为推广示意使用,非交付标准,最终以实际交付现状为准;
3.本宣传资料对项目周边学校等教育资源的介绍旨在提供相关信息,并不意味着本公司对就学安排作出承诺。教育资源的名称、办学性质、办学规模、学位设置、开学(班)时间、招生条件、收费标准及招生区域存在调整的可能,应以政府教育主管部门及办学方颁布的政策规定为准;
4.本资料对项目或产品的介绍,旨在提供相关信息,不意味着本公司对此作出了承诺,买卖双方的权利义务以《商品房买卖合同》及附件等协议为准;
5.宣传方保留对宣传资料修改和解释的权利;
声明:本文由入驻焦点开放平台的作者撰写,除焦点官方账号外,观点仅代表作者本人,不代表焦点立场。
